電阻率是什么意思
電阻率是什么?最近有很多網友都留言問道,“電阻率是什么意思”其中定義、公式、單位及計算等情況,小編我今天就以一篇文章形式去講述電阻率的定義、公式、單位及計算如下。
電阻率定義
電阻率是用來表示各種物質電阻特性的物理量。用某種材料制作的長1米、橫截面積1平方米的導體的電阻,在數值上等于該材料的電阻率。簡單來講就是由某種物質制成的原件(常溫下20℃)的電阻與橫截面積的乘積與長度之比稱為該物質的“電阻率”。
電阻率單位
在國際單位制中,電阻率單位為歐姆米(Ω·m或ohmm),常用單位為歐姆·毫米和歐姆·米。
電阻率公式
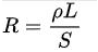
電阻率(resistivity)是用來表示各種物質電阻特性的物理量。在溫度一定的情況下,材料的電阻為:
其中的ρ就是電阻率,L為材料的長度, S為面積。可以看出,材料的電阻大小與材料的長度成正比,即在材料和橫截面積不變時,長度越長,材料電阻越大;而與材料橫截面積成反比,即在材料和長度不變時,橫截面積越大,電阻越小。
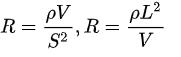
由上式可知電阻率的定義為:
推導公式:
推進公式內V為材料體積,V=LS。
電阻率計算表達式
ρ=RS/L;
ρ就是電阻率,L為材料的長度, S為面積,R是電阻值;
可以看出以下圖中,材料的電阻大小與材料的長度成正比,即在材料和橫截面積不變時,長度越長,材料電阻越大:而與材料橫截面積成反比,即在材料和長度不變時,橫截面積越大,電阻越小;
相關資料:
電阻率說明
(1)電阻率ρ不僅和導體的材料有關,還和導體的溫度有關。在溫度變化不大的范圍內,幾乎所有金屬的電阻率都隨溫度作線性變化,即ρ=ρ0(1+at),式中t是攝氏溫度,ρ是0℃時的電阻率,a是電阻率溫度系數,利用這一性質可制成電阻溫度計,有些合金電阻率受溫度的影響很小,常用來作標準電阻。
(2)由于電阻率隨溫度改變,故對于某些電器的電阻,必須說明它們所處的物理狀態。如一個“220V,40W”電燈燈絲的電阻,正常發光時是1210Ω,未通電時只有100歐左右。
(3)電阻率和電阻是兩個不同的概念,電阻率是反映物質對電流阻礙作用的屬性,電阻是反映物體對電流阻礙作用的屬性。
影響因素
電阻率不僅與材料種類有關,而且還與溫度、壓力和磁場等外界因素有關。金屬材料在溫度不高時,ρ與溫度t(℃)的關系是ρt=ρ0(1+at),式中ρt與ρ0分別是t℃和0℃時的電阻率;a是電阻率的溫度系數,與材料有關。錳銅的a約為1×10-5/℃(其數值極小),用其制成的電阻器的電阻值在常溫范圍下隨溫度變化極小,適合于作標準電阻。已知材料的ρ值隨溫度而變化的規律后,可制成電阻式溫度計來測量溫度。半導體材料的α一般是負值且有較大的量值。制成的電阻式溫度計具有較高的靈敏度。有些金屬(如Nb和Pb)或它們的化合物,當溫度降到幾K或十幾K(絕對溫度)時,ρ突然減少到接近零,出現超導現象,超導材料有廣泛的應用前景。利用材料的ρ隨磁場或所受應力而改變的性質,可制成磁敏電阻或電阻應變片,分別被用來測量磁場或物體所受到的機械應力,在工程上獲得廣泛應用。
以上內容主要介紹電阻率的定義、公式、單位及計算方式。
- 電話:0755-29796190
- 郵箱:ys@jepsun.com
- 聯系人:湯經理 13316946190
- 聯系人:陸經理 18038104190
- 聯系人:李經理 18923485199
- 聯系人:肖經理 13392851499
- QQ:2057469664
- 地址:深圳市寶安區翻身路富源大廈1棟7樓

